Home
Health Care
DIABETIC CARE
CHOLESTEROL CARE
UTERINE CARE
IMMUNITY BOOSTER
FAT REDUCER
Skin Care
FACE SERUM
ANTI AGEING CREAM
UNDER EYE GEL
HAND & BODY LOTION
FACE WASH
Personal Care
SHAMPOO
CONDITIONER
Colour Cosmetic
Lipstick - 01
Lipstick - 02
Lipstick - 03
Lipstick - 04
Lipstick - 05
Lipstick - 06
Liquid Lipstick
0
Legals
Home
Legals
CERTIFICATE OF INCORPORATION
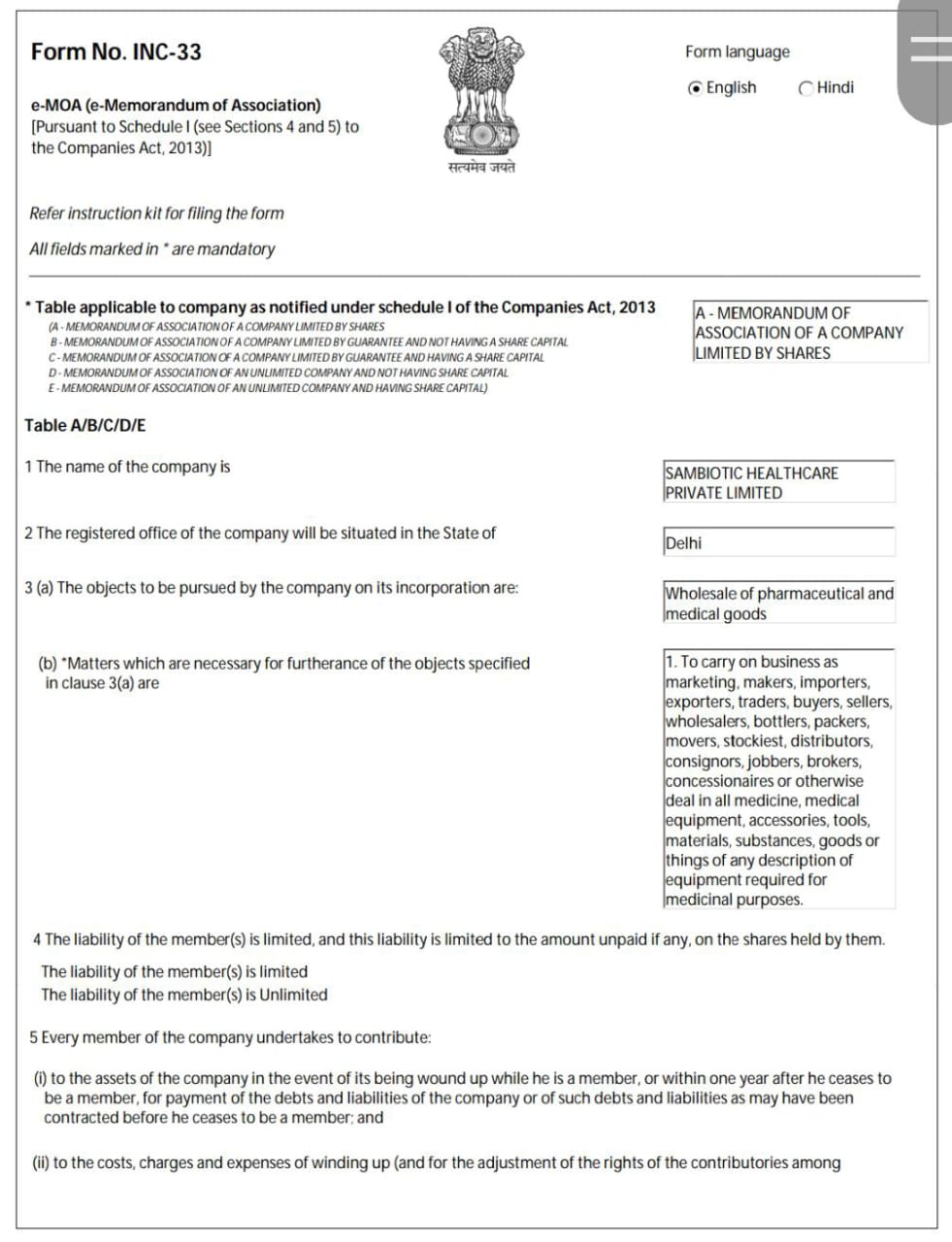
e-MOA (Page-1)
e-moa (Page-2)
e-MOA (Page-3)
GST
PAN
Login
Sign Up